
Stereo Mikrofonierung leicht gemacht
Stereo Mikrofonierung leicht gemacht
Du stehst vor der Aufgabe eine Stereoquelle aufzunehmen. Beispielsweise einen Flügel oder ein Kammerorchester. Nun stellt sich die Frage welche Stereo Mikrofonierung in Frage kommt. Zuerst müssen wir uns mal bildlich vorstellen, wie der Mensch ein Signal ortet. Dafür sind 2 Faktoren zuständig.
Laufzeit-Stereofonie
Stell Dir mal ein Motorrad vor, das von links nach rechts an Dir vorbeifährt. Das Motorrad befindet sich also anfangs links von Dir. Der Lärm des Motors bewegt sich mit Schallgeschwindigkeit durch die Luft (ca. 350m pro Sekunde). Es erreicht unser rechtes Ohr und ein Wenig später (ca. 0,6 Millisekunden) als unser linkes. Dein
Hirn errechnet dann automatisch die Position der Schallquelle.
Stell Dir mal ein Motorrad vor, das von links nach rechts an Dir vorbeifährt. Das Motorrad befindet sich also anfangs links von Dir. Der Lärm des Motors bewegt sich mit Schallgeschwindigkeit durch die Luft (ca. 350m pro Sekunde). Es erreicht unser rechtes Ohr und ein Wenig später (ca. 0,6 Millisekunden) als unser linkes. Dein
Hirn errechnet dann automatisch die Position der Schallquelle.
Gleichzeitig passiert aber noch etwas anderes. Das linke Ohr nimmt den Schall lauter war als das rechte, da der Kopf selbst den Schall abdämpft und verschluckt. Ausserdem verliert der Schall an Energie, da er um den Kopf herum geleitet werden muss und keine freie Bahn zum rechten Ohr hat. Diesen Faktor nennt man Intensitätsstereofonie. Das Motorrad fährt weiter und befindet sich nun genau vor Dir. Der Lärm des Motors erreicht nun beide Ohren gleichzeitig und ist auf beiden Ohren gleich laut. Das Signal erscheint mittig. Es ist als ob Du nur einen Lautsprecher hast, der genau vor Dir steht.
Fährt das Motorrad weiter nach rechts, erreicht der Schall Dein rechtes Ohr zuerst und ist auf diesem auch lauter. Je nachdem wie gross die Laufzeiten und wie stark die Lautstärkeunterschiede sind, errechnet Dein Hirn die genaue Position der Schallquelle. Diese beiden Faktoren kann man bei einer Stereoaufnahme separat benützen oder miteinander kombinieren. Schauen wir uns mal ein paar Mikrofonpositionen an.
Stereo Mikrofonierungstechniken
Wir beginnen mit Positionen, die nur die Lautstärkeunterschiede aufzeichnen (Intensitätsstereofonie).
X-Y Mikrofonierung
Die gängigste Methode ist die X-Y Positionierung. Hier werden 2 aufeinander abgestimmte Mikrofone benutzt, die eine Nierencharakteristik aufweisen. Die beiden Mikrofonkapseln werden genau übereinander gelegt und um 90° zueinander versetzt. Die eintreffenden Schallquellen werden entweder vom einen oder vom anderen Mikrofon lauter aufgenommen, so entsteht die Ortung des Signals. Der Vorteil dieses Systemes ist, dass es absolut Mono kompatibel ist. Das heisst, wenn Du nur einen Lautsprecher hast, gibt es keine Auslöschungen durch Laufzeitunterschiede.

Blumlein Technik
Die Blumlein Stereo Mikrofonierung lehnt sich an der X-Y Positionierung an. Jedoch werden statt Mikrofone mit Nierencharakteristik Mikros mit einer Achter Charakteristik genommen. (Vorwiegend Bändchen manchmal auch Kondensator Mikrofone). Diese Mikrofone nehmen den Schall nicht nur von vorne auf, sondern auch von hinten auf und das im selben Masse. Du kannst das Mikrofon also um 180° drehen und es macht keinen Unterschied bei der Aufnahme. Seitensignale werden im Gegensatz zur Niere nicht mit aufgenommen.
Die Blumlein Stereofonie zeichnet sich durch eine sehr getreue Raumwiedergabe aus, hat aber den Nachteil, dass Signale von hinten auch eingefangen werden. Wenn man zum Beispiel ein Livekonzert aufnimmt, hat man das Publikum auch auf der Aufnahme. Dem kannst Du entgegenwirken, in dem Du die Mikrofone von oben schräg nach unten positionierst. So hast Du in einer Kirche beispielsweise den ganzen Raum eingefangen, doch das Publikum ist aus dem Aufnahmebereich verschwunden. Auch dieses System beschränkt sich auf die Intensitätsstereofonie und ist somit Mono kompatibel.

M-S Technik
Die M-S Stereo Mikrofonierung ist ein Verfahren, dass noch heute in der Rundfunktechnik benutzt wird und bedient sich einer cleveren Formel. Das M-S Verfahren trennt das Stereosingal in ein Mitten und ein Seitensignal auf. Das hat einerseits den Vorteil, dass man die Stereobreite individuell bearbeiten kann und dass diese Schaltung absolut Monokompatibel ist. Im Rundfunk ist das sehr wichtig, da immer noch viele Transistorradios existieren die nur einen Lautsprecher besitzen. Deshalb senden Rundfunkanstalten grösstenteils in M-S, da der Mono-Radioempfänger das 2. Signal (also das Seitensignal) einfach ignoriert.
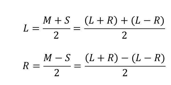
Das funktioniert folgendermassen:

Das Mitte Signal entsteht, wenn Du beide Kanäle (Links und Rechts) addierst. Du erhältst als Summe den Signalanteil, der bei beiden Kanälen identisch ist. Das Seiten Signal entsteht, wenn Du den rechten Kanal vom linken subtrahierst. Als Differenz Du erhältst den Signalanteil, welcher bei beiden Kanälen unterschiedlich ist.
Das Signal kannst Du auch wieder rückwärts decodieren:

Du musst also mit 2 Mikrofonen arbeiten. Das eine nimmt das Mittensignal auf, das Andere den Stereoanteil. Dazu nimmst Du ein Mikrofon mit Nieren oder Kugel Charakteristik für das Mittensignal und 90° dazu versetzt ein Mikrofon mit einer Achter Charakteristik für die Aufnahme des Seitensignals.

Es gibt 2 Möglichkeiten die M-S Signale in dein Projekt einzubinden.
Du encodierst die Signale nach der oben genannten Formel. Du routest Dein Mittensignal auf 2 Busse. Dasselbe machst Du mit dem Seitensignal, wobei Du einen Bus des Seitensignals um 180° Phasendrehst. Nun schickst Du den ersten Bus des Mittensignals und den ersten Bus des Seitensignals auf eine Subgruppe und erhältst somit den linken Kanal. Den zweiten Bus des Mittensignals und den zweiten um 180° gedrehte Bus des Seitensignals schickst Du wiederum auf eine Subgruppe und erhältst somit den rechten Kanal. Denk daran, dass die Signale doppelt so laut sein werden wie die Ausgangssignale. Zieh den Fader somit 6db runter.

Eine weitere Möglichkeit besteht darin das Mittensignal Mittig zu lassen, das Seitensignal zu duplizieren und das gedoppelte Signal um 180° in der Phase zu drehen. Du hast nun 3 Spuren.
Das Mittensignal
Das Seitensigna
Das Phasengedrehte Seitensignal
Mit dem Mittensignal bestimmst Du die Lautstärke und mit den beiden Seitenkanälen bestimmst du die Breite. Sie werden immer gekoppelt, also in der Lautstärke gleich behandelt.

Der Vorteil dieser Schaltung ist die Mono Kompatibilität, da sich die Seitensignale total auslöschen wenn sie zusammenaddiert werden.
A-B Mikrofonierung
Die A-B Mikrofonierung bedient sich der Laufzeitstereofonie. Bei diesem Verfahren nimmt man 2 Mikrofone mit Nieren- oder Kugelchrakteristik und stellt sie parallel in maximal 50cm Abstand zueinander auf. Der Schall erreicht bei asymmetrischer Einstrahlung das eine Mikrofon zuerst. Dadurch entsteht eine Zeitverzögerung zwischen dem einen Mikrofon und dem anderen, die das Ohr als Ortungshilfe benützt. Dieses System ist nicht Mono kompatibel. Wenn man die linke und die rechte Spur auf einem Monokanal zusammenmischt, entstehen Phasenauslöschungen, da sich die beiden Spuren asynchron bewegen
Der Lautstärkenunterschied beider Mikrofone ist vernachlässigbar. Einen Laufzeitunterschied von ca. 63ms entsprechen einer 100%igen rechts oder links Ortung.

Die Jecklin-Scheibe/ Der Kunstkopf
Eine weitere Art der Laufzeitstereofonie sind die Jecklin-Scheibe oder der Kunstkopf. Hier bedient man sich der Tatsache, dass an unserem Kopf beide Ohren voneinander abgeschirmt sind. Das heisst mehr oder weniger. Die tiefen Frequenzen durchdringen unseren Kopf ohne weiteres, doch die hohen Frequenzen werden von der Kopfmasse absorbiert. Deshalb ist es uns nicht möglich tieffrequente Schallquellen genau zu orten. Höhere Töne hingegen sind da kein Problem. Der Nachteil dieser zwei Mikrofonierungsverfahren ist, dass sie nur zum Hören mit Kopfhörern wirklich geeignet sind. Wenn man mit diesem Verfahren aufgenommene Musik über Lautsprecher hört, addiert sich der Effekt, da die Aufnahmesituation ein zweites Mal wiederholt wird.
Für die Jecklin-Scheibe braucht man 2 Mikrofone mit Kugelcharakteristik die parallel in einem Abstand von 16.5cm aufgestellt werden. Dazwischen schiebt man eine runde Scheibe mit einem Durchmesser von 30cm die alles oberhalb 500Hz stark absorbiert.
Durch die Abschirmung der oberen Frequenzen entsteht bei dieserStereo Mikrofonierung eine Mischung aus Laufzeit- und Intensitätsstereofonie. Da die tiefen Töne mono erklingen spricht man von frequenzabhängiger Schalldruckpegeldifferenz.

Stereo Mikrofonierung der Rundfunkanstalten
Die ORTF, NOS und EBS Mikrofonierungtechniken sind weitere Mischformen die mehr oder minder die beiden Stereofonien nutzen. Alle drei sind Verfahren, die von Rundfunkanstalten durch Probieren und Rechnen erfunden wurden.
ORTF
ORTF (Office de Radiodiffusion Télévision Française). Bei dieser Stereo Mikrofonierung werden 2 Mikrofone mit Nierencharakteristik in einem Winkel von 110° und einem Kapselabstand von 17cm aufgestellt. Bei dieser Aufstellung überwiegt die Intensitätsstereofonie.

EBS
Auch bei der EBS Positionierung braucht man 2 Mikrofone mit Nierencharakteristik. Man stellt sie jedoch in einem Winkel von 90° und einem Kapselabstand von 25cm auf. Bei diesem System halten sich Laufzeit- und Intensitätsstereofonie die Waage.

NOS
NOS (Nederlandse Omroep Stichting) ist mit EBS identisch, hat jedoch einen grösseren Kapselabstand (30cm) und deshalb überwiegt die Laufzeitstereofonie.

Fazit
Es gilt also vor der Aufnahme zu überlegen welche Stereo Mikrofonierung Du wählst. Über welches Medium wird die Musik abgespielt? Setzt man eher auf die Laufzeit- oder eher auf die Intensitätsstereofonie? Wenn viele Schallquellen gleichzeitig aufgenommen werden müssen, setzte ich eher auf die Intensitätsstereofonie, da es durch die gleichzeitige Aufstellung mehrerer Mikrofonpaaren zu Phasenauslöschungen kommen kann. Durch die Platzierung von jeweils 2 Mikrofonen auf einer Achse, kann ich den Effekt reduzieren. Bei einer Aufnahme mit nur 1-2 Mikrofonpaaren, setzte ich eher auf die Laufzeitstereofonie, da die Ortung genauer ist als mit der Intensitätsstereofonie alleine.
Hier noch die beschriebenen Mikrofonierungen im Überblick:

